SOLUTION: What is the exact value of tan(15 degrees)? The correct answer is one of the following. Which one? A) 1- square root of 3 B) 2- 2(square root of 3) C) 2+ square root of

Algebra ->  Trigonometry-basics -> SOLUTION: What is the exact value of tan(15 degrees)? The correct answer is one of the following. Which one? A) 1- square root of 3 B) 2- 2(square root of 3) C) 2+ square root of      Log On


   



Question 1198656: What is the exact value of tan(15 degrees)?
The correct answer is one of the following. Which one?
A) 1- square root of 3
B) 2- 2(square root of 3)
C) 2+ square root of 3
D) 2+ 2(square root of 3)
E) 2- square root of 3

Found 4 solutions by Alan3354, Theo, MathTherapy, math_tutor2020:
Answer by Alan3354(69443) About Me  (Show Source):
You can put this solution on YOUR website!
What is the exact value of tan(15 degrees)?
The correct answer is one of the following. Which one?
A) 1- square root of 3
B) 2- 2(square root of 3)
C) 2+ square root of 3
D) 2+ 2(square root of 3)
E) 2- square root of 3
======================================
tan(15) is positive.
A is negative
B is negative
----
tan(15) < 1
C is > 1
D is > 1
----
That leaves E.
Use a calculator to confirm it.

Answer by Theo(13342) About Me  (Show Source):
You can put this solution on YOUR website!
selection E is your solution.

the identity formula used to find that is tan(x/2) = (1 - cos(x) / sin(x)

when x/2 = 15 degrees, x = 30
cos(x) = sqrt(3)/2
sin(x) = 1/2

(1 - cos(x) / sin(x) = (1 - sqrt(3)/3) / (1/2) = 2 - sqrt(3).
that's selection E.

you can confirm using your caalculator.
tan(15) = .2679491924
2 - sqrt(3) = the same.
(1 - cos(30))/sin(30) = the same.

here's a reference.
https://www.cuemath.com/half-angle-formula/

Answer by MathTherapy(10552) About Me  (Show Source):
You can put this solution on YOUR website!

What is the exact value of tan(15 degrees)?
The correct answer is one of the following. Which one?
A) 1- square root of 3
B) 2- 2(square root of 3)
C) 2+ square root of 3
D) 2+ 2(square root of 3)
E) 2- square root of 3
You can use a few identities: 
1) Difference of TWO angles:   <==== Too COMPLEX and TIME-CONSUMING

2) Difference of TWO angles:   <==== Too COMPLEX and TIME-CONSUMING

3) HALF-ANGLE:   <==== EASIER to manipulate
OR
4) HALF-ANGLE:   <==== EASIEST to manipulate

There're other COMBINATIONS but they are too diffucult, time-consumig, and don't make any sense when there're much easier ways to get the answer!

Using the 4th, we get: HALF-ANGLE:  
                                                                                                       
                                                         matrix%281%2C2%2C+%22=%22%2C+highlight%282+-+sqrt%283%29%29%29 CHOICE E)

Answer by math_tutor2020(3817) About Me  (Show Source):
You can put this solution on YOUR website!

I'll use a geometric approach, and a bit of algebra.

What we can do is form this rectangle here:

Note the 15+45+30 = 90 in the top right corner.

The three triangles at the bottom are your standard template 30-60-90 triangles, and a 45-45-90 triangle.
We'll focus on the triangle up top. It has an angle of 15 degrees.
The tangent of this angle is the opposite over adjacent.

tan%28angle%29+=+%28opposite%29%2F%28adjacent%29

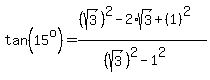
tan%2815%5Eo%29+=+%28sqrt%283%29-1%29%2F%28sqrt%283%29%2B1%29

tan%2815%5Eo%29+=+%28%28sqrt%283%29-1%29%2AA%29%2F%28%28sqrt%283%29%2B1%29%2AA%29 Multiply top and bottom by some variable, which I'll call A.

Plug in A+=+sqrt%283%29-1 so that the denominator is rationalized.

Expand the numerator. Use the difference of squares rule in the denominator.

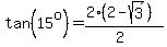
tan%2815%5Eo%29+=+%283-2%2Asqrt%283%29%2B1%29%2F%283-1%29 The square root is canceled out in the denominator.

tan%2815%5Eo%29+=+%284-2%2Asqrt%283%29%29%2F%282%29

tan%2815%5Eo%29+=+%282%282-sqrt%283%29%29%29%2F%282%29

tan%2815%5Eo%29+=+2-sqrt%283%29

Answer: Choice E