SOLUTION: If tanθ=1/2, what is the exact value of tan20? One of the following is the correct answer. Which one? A) 1/4 B) 1/2 C) 2/3 D) 1 E) 4/3

Algebra ->  Trigonometry-basics -> SOLUTION: If tanθ=1/2, what is the exact value of tan20? One of the following is the correct answer. Which one? A) 1/4 B) 1/2 C) 2/3 D) 1 E) 4/3      Log On


   



Question 1198623: If tanθ=1/2, what is the exact value of tan20?
One of the following is the correct answer. Which one?
A) 1/4
B) 1/2
C) 2/3
D) 1
E) 4/3

Answer by math_tutor2020(3817) About Me  (Show Source):
You can put this solution on YOUR website!

tan%28theta%29+=+1%2F2 is given

tan%282theta%29+=+%282%2Atan%28theta%29%29%2F%281-tan%5E2%28theta%29%29 is one of the many identities that should be given to you on a reference sheet.

So,
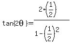
tan%282theta%29+=+%282%2Atan%28theta%29%29%2F%281-tan%5E2%28theta%29%29

tan%282theta%29+=+%282%2A%281%2F2%29%29%2F%281-%281%2F2%29%5E2%29

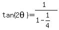
tan%282theta%29+=+%281%29%2F%281-1%2F4%29

tan%282theta%29+=+%281%29%2F%283%2F4%29

tan%282theta%29+=+4%2F3

Answer: Choice E) 4/3