Question 1198034: Could you please help me with this question?
Write sin t in terms of sec t ; quadrant IV
[ request to tutors: I am confused about whether we have a positive or negative sign in such problems. If you could please explain the steps I would greatly appreciate it]
Found 4 solutions by Edwin McCravy, ikleyn, mccravyedwin, greenestamps: Answer by Edwin McCravy(20056) (Show Source):
You can put this solution on YOUR website!
You should memorize
1. All trig ratios are positive in quadrant I
2. Only the SINE and its reciprocal, the COSECANT, are positive in quadrant II.
All others are negative.
3. Only the TANGENT and its reciprocal, the COTANGENT, are positive in
quadrant III. All others are negative.
4. Only the COSINE and its reciprocal, the SECANT, are positive in quadrant IV.
All others are negative.
Some students find it helpful to remember the sentence
"ALL STUDENTS TAKE CALCULUS."
to remember ALL, SINE, TANGENT, COSINE. Then you know their reciprocals also
have the same signs.
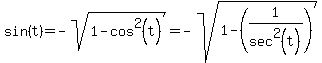
The formulas for one trig ratio in terms of another trig ratio are different
for each quadrant. You were given quadrant IV. We begin by using ±, then we'll
figure out which sign we will use for quadrant IV.
  
 
Now we make sure that we pick the right sign.
In quadrant IV the sine and the secant have OPPOSITE signs. So therefore, we
use the negative sign in front. So the answer for quadrant IV is
 
Edwin
Answer by ikleyn(52788) (Show Source):
You can put this solution on YOUR website! .
Hey, there is no any need to memorize the signs of trigonometry functions in four quadrants.
Saying honestly, I think that it is impossible to memorize, if you do not understand the meaning of trigonometry functions,
and there is no need to memorize (no need to fill your mind by the stuff which you do not understand): it is bad way of teaching.
You need to imagine mentally the unit circle as a watch clock face.
The sine function sin(t) is vertical coordinate of the arrow's end:
it is in positive domain in Q1 and Q2 and in negative domain in Q3 and Q4.
Similar for the cosine function cos(t): it is horizontal coordinate of the arrow's end,
and therefore it is positive in Q1 and Q4 and negative in Q2 and Q3.
As soon as you understand it, the way is open for you to move forward,
and your mind is free from the useless stuff.
Answer by mccravyedwin(407) (Show Source):
You can put this solution on YOUR website!
"Hey, there is no any need to memorize the signs of trigonometry functions in four
quadrants."
Why not? It's too much trouble to have to go through every time to think of
whether it's a positive over a positive, a positive over a negative, a negative
over a positive, or a negative over a negative. Of course they can do that, but
on a test, they need to save time, not waste time going through the 4 sign facts
every time.
You may as well tell them there is no need to memorize the quadratic formula
because all they need do is complete the square.
Edwin
Answer by greenestamps(13200) (Show Source):
You can put this solution on YOUR website! In quadrant IV, x is positive and y is negative.
sin(A) is the y value, so sin(A) and its reciprocal csc(A) are negative in quadrant IV.
cos(A) is the x value, so cos(A) and its reciprocal sec(A) are positive in quadrant IV.
So in your problem the given value sec(t) is positive and the result sin(t) will be negative.

|
|
|