Question 1195084: with this (1) if sin p=3/5,and p is an acute
angle,what is the value of tan p?
Found 3 solutions by ikleyn, Alan3354, MathTherapy: Answer by ikleyn(52855) (Show Source): Answer by Alan3354(69443) (Show Source):
You can put this solution on YOUR website! with this (1) if sin p=3/5,and p is an acute
angle,what is the value of tan p?
-------------

---
tan = sin/cos = (3/5)/(4/5) = 3/4
======================
This can be "confirmed" with a calculator.
Answer by MathTherapy(10555) (Show Source):
You can put this solution on YOUR website! with this (1) if sin p=3/5,and p is an acute
angle,what is the value of tan p?
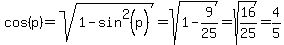
is representative of a 3-4-5 PYTHAGOREAM TRIPLE, with hypotenuse, 5, and 3 and 4, the legs.
Therefore, 4 = Longer leg = x = A (Adjacent)
With that, we get
|
|
|