SOLUTION: Given f(x)=^3 square root x-2/5 and g(x)=5x^3+2, find the indicated value or function. a) f^-1(x) b) g^-1(x) c) (f^-1*g^-1)(1) d) (g^-1*f^-1)(-3)

Algebra ->  Trigonometry-basics -> SOLUTION: Given f(x)=^3 square root x-2/5 and g(x)=5x^3+2, find the indicated value or function. a) f^-1(x) b) g^-1(x) c) (f^-1*g^-1)(1) d) (g^-1*f^-1)(-3)      Log On


   



Question 1191136: Given f(x)=^3 square root x-2/5 and g(x)=5x^3+2, find the indicated value or function.
a) f^-1(x)
b) g^-1(x)
c) (f^-1*g^-1)(1)
d) (g^-1*f^-1)(-3)

Found 3 solutions by MathLover1, Solver92311, greenestamps:
Answer by MathLover1(20855) About Me  (Show Source):
You can put this solution on YOUR website!

Given
f%28x%29=3sqrt%28+x-2%2F5+%29+and
g%28x%29=5x%5E3%2B2

find the indicated value or function:

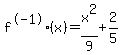
a) f%5E-1%28x%29
note that f%28x%29=y
y=3sqrt%28+x-2%2F5+%29........swap variables
x=3sqrt%28y-2%2F5+%29.......solve for y
x%2F3=sqrt%28y-2%2F5+%29.......square both sides
x%5E2%2F9=y-2%2F5+
y=x%5E2%2F9%2B2%2F5++
so,
+f%5E-1%28x%29=x%5E2%2F9%2B2%2F5

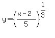
b) g%5E-1%28x%29
g%28x%29=y
y=5x%5E3%2B2.......swap variables
x=5y%5E3%2B2
x-2=5y%5E3+
y%5E3+=%28x-2%29%2F5
y=root%283%2C%28x-2%29%2F5%29
=>g%5E-1%28x%29=root%283%2C%28x-2%29%2F5%29


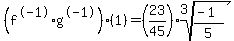
c) %28f%5E-1%2Ag%5E-1%29%281%29
%28f%5E-1%2Ag%5E-1%29%28x%29=%28x%5E2%2F9%2B2%2F5%29%2Aroot%283%2C%28x-2%29%2F5%29
substitute x=1
%28f%5E-1%2Ag%5E-1%29%281%29=%2823%2F45%29%2Aroot%283%2C%28-1%29%2F5%29


d) %28g%5E-1%2Af%5E-1%29%28-3%29
%28g%5E-1%2Af%5E-1%29%28x%29+ will be same as above
%28g%5E-1%2Af%5E-1%29%28x%29+=+%28x%5E2%2F9%2B2%2F5%29%2Aroot%283%2C%28x-2%29%2F5%29 ........substitute+x=-3
%28g%5E-1%2Af%5E-1%29%28-3%29+=%28%28-3%29%5E2%2F9%2B2%2F5%29%2Aroot%283%2C%28-3-2%29%2F5%29
%28g%5E-1%2Af%5E-1%29%28-3%29+=%287%2F5%29%2Aroot%283%2C-5%2F5%29
%28g%5E-1%2Af%5E-1%29%28-3%29+=%287%2F5%29%2Aroot%283%2C-1%29


Answer by Solver92311(821) About Me  (Show Source):
You can put this solution on YOUR website!


I presume you mean although there is no reason not to interpret your input as or . Use parentheses to make clear what elements of your text are inside radicals and what goes in fraction numerators and denominators when you re-post. Also, the plain text representation of cube root is "cbrt()" or "sqrt[3]()". By the way, one question per post. You posted four questions.

John

My calculator said it, I believe it, that settles it

From
I > Ø

Answer by greenestamps(13334) About Me  (Show Source):
You can put this solution on YOUR website!


Some remarks regarding the responses you have already received....

(1) It is absolutely true that we have no idea what the first function is because of the way you have written it.

(2) It is absurd for the one tutor to criticize you for posting "four questions" in one post. The four questions you post are all interrelated; it would make absolutely no sense to post them separately. The forum rule about one question per post means you shouldn't ask two or more completely unrelated questions in one post.

(3) The meaning of your second function is clear; one of the tutors showed how to find the inverse function by the formal method of swapping the variables and solving for the new y.

I will repeat that method here, possibly in a slightly different way.

x=5y%5E3%2B2
x-2=5y%5E3
%28x-2%29%2F5=y%5E3
y=root%283%2C%28x-2%29%2F5%29

Here is a method for achieving the same result informally with far less effort, using the idea that an inverse function "un-does" what the function does.

In your second function, y=5x^3+2, the function performs these operations on the input:

(1) raise to power 3; (2) multiply by 5; and (3) add 2

The inverse function, in order to undo what the function did, needs to perform the opposite operations in the opposite order:

(1) subtract 2; (2) divide by 5; and (3) raise to power 1/3 (i.e., take the cube root)

ANSWER: y=%28%28x-2%29%2F5%29%5E%281%2F3%29 or y=root%283%2C%28x-2%29%2F5%29

Note that the sequence of steps in finding the inverse by the formal method is EXACTLY the same as the sequence of steps (1) to (3) used to find the inverse function by the informal method. The advantage of the informal method is that you can essentially write down the inverse function immediately.