SOLUTION: θ is an acute angle and sin θ and cos θ are given. Use identities to find the indicated value. sin θ = - radical 11 / 6 , cos θ = 5/6. Find cot θ.

Algebra ->  Trigonometry-basics -> SOLUTION: θ is an acute angle and sin θ and cos θ are given. Use identities to find the indicated value. sin θ = - radical 11 / 6 , cos θ = 5/6. Find cot θ.      Log On


   



Question 1185186: θ is an acute angle and sin θ and cos θ are given. Use identities to find the indicated value.
sin θ = - radical 11 / 6 , cos θ = 5/6. Find cot θ.

Answer by MathLover1(20850) About Me  (Show Source):
You can put this solution on YOUR website!

theta is an acute angle and sin%28theta%29 and cos%28theta%29 are given.
Use identities to find the indicated value.
sin%28+theta%29+=+-+sqrt%2811%29%2F6
cos%28theta%29+=+5%2F6
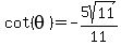
Find cot+%28theta%29:
cot+%28theta%29=cos%28theta%29+%2Fsin%28+theta%29
cot+%28theta%29=+%285%2F6%29+%2F%28+-sqrt%2811%29%2F6%29
cot+%28theta%29=+-5%2Fsqrt%2811%29
cot+%28theta%29=+-5sqrt%2811%29%2F11