SOLUTION: https://gyazo.com/55eb0f61e5f476ec00b0592a37adb561 with steps please

Algebra ->  Trigonometry-basics -> SOLUTION: https://gyazo.com/55eb0f61e5f476ec00b0592a37adb561 with steps please      Log On


   



Question 1181788: https://gyazo.com/55eb0f61e5f476ec00b0592a37adb561
with steps please

Found 2 solutions by MathLover1, MathTherapy:
Answer by MathLover1(20850) About Me  (Show Source):
You can put this solution on YOUR website!

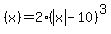
f%28x%29=abs%28x%29-10
g%28x%29=2x%5E3
(g o f)%28-2%29
(g o f)%28x%29=g%28f%28x%29%29
(g o f)%28x%29=g%28abs%28x%29-10%29

(g o f)%28x%29=2%28abs%28x%29-10%29%5E3...use %28a-b%29%5E3=a%5E3-3a%5E2b%2B3ab%5E2-b%5E3
(g o f)%28x%29=+2abs%28x%29%5E3-60abs%28x%29%5E2%2B600abs%28x%29-2000

now find (g o f)%28-2%29
(g o f)%28-2%29=+2abs%28-2%29%5E3-60abs%28-2%29%5E2%2B600abs%28-2%29-2000
(g o f)%28-2%29=+-1024


Answer by MathTherapy(10555) About Me  (Show Source):
You can put this solution on YOUR website!
https://gyazo.com/55eb0f61e5f476ec00b0592a37adb561
with steps please
                     f(x) = |3x| - 10
f(- 2) = 6 - 10 = - 4
matrix%281%2C3%2C+g%28x%29%2C+%22=%22%2C+2x%5E3%29
Correct answer: