SOLUTION: https://gyazo.com/22e2517fac8fa654c1d13422dd756511

Algebra ->  Trigonometry-basics -> SOLUTION: https://gyazo.com/22e2517fac8fa654c1d13422dd756511      Log On


   



Question 1178955: https://gyazo.com/22e2517fac8fa654c1d13422dd756511
Found 2 solutions by MathLover1, ikleyn:
Answer by MathLover1(20850) About Me  (Show Source):
You can put this solution on YOUR website!

f%28x%29=16x%2F%28x%5E2%2B2%29
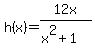
h%28x%29=12x%2F%28x%5E2%2B1%29

1 when are equal
16x%2F%28x%5E2%2B2%29=12x%2F%28x%5E2%2B1%29
+16x%28x%5E2%2B1%29=12x%28x%5E2%2B2%29..........divide by x (remmember count x=0 as a solution)
16%28x%5E2%2B1%29=12%28x%5E2%2B2%29
16x%5E2%2B16=12x%5E2%2B24
16x%5E2%2B16-12x%5E2-24=0
4x%5E2-8=0
x%5E2-2=0
x%5E2=2

solutions:
x=-sqrt%282%29
x=sqrt%282%29
x=0+
2.
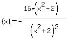
f'%28x%29+=+-%2816+%28x%5E2+-+2%29%29%2F%28x%5E2+%2B+2%29%5E2
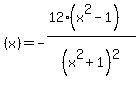
h'%28x%29+=+-%2812+%28x%5E2+-+1%29%29%2F%28x%5E2+%2B+1%29%5E2

when greater than the actual function:

16x%2F%28x%5E2%2B2%29++%3C-%2816+%28x%5E2+-+2%29%29%2F%28x%5E2+%2B+2%29%5E2+
for all x+%3C+0.650629, in interval
(-infinity,+0.650629)

12x%2F%28x%5E2%2B1%29+%3C+-%2812+%28x%5E2+-+1%29%29%2F%28x%5E2+%2B+1%29%5E2
for all x+%3C+0.543689, in interval
(-infinity, 0.543689)


Answer by ikleyn(52909) About Me  (Show Source):
You can put this solution on YOUR website!
.


            Couple of notes regarding the post by  @MathLover1.


1)  Her answer to question (a) is INCORRECT.

    These functions are defined at x >= 0; they make sense for non-negative values of x (time (!) ).



    Therefore, the correct answer to question (a) is  x = 0  and  x = sqrt%282%29.




2.  Her "solution" for question (b) is INCORRECT and TOTALLY INADEQUATE.


    The question is about the "derived" functions f(x) and g(x).

    but @MathLover1 MISTAKENLY treats it as the question about "derivative" functions,

    which HAS NO ANY RELATION to the posed question.


Perhaps,  today later in the evening  I will solve this problem/question in full for you to the very end.

So,  check this spot / (post) from time to time.


//////////////


Keep in mind,  that @MathLower1 is very specific  "quasi-tutor"  and  "pseudo-tutor",  who regularly produces
1 - 2 - 3   incorrect solutions every day.     Each day . . .


Why it is so and why it is allowed at this forum  ----  do not ask me.
This question is not for me.


Address this question to the owner of this site - - - - why he does allow such tutors to work here,  lowering the site ranking.