SOLUTION: x = cos(𝜃) y = 5 sin(𝜃) Eliminate the parameter and write the corresponding rectangular equation whose graph represents the curve. Adjust the domain of the resulting rect

Algebra ->  Trigonometry-basics -> SOLUTION: x = cos(𝜃) y = 5 sin(𝜃) Eliminate the parameter and write the corresponding rectangular equation whose graph represents the curve. Adjust the domain of the resulting rect      Log On


   



Question 1177442: x = cos(𝜃)
y = 5 sin(𝜃)
Eliminate the parameter and write the corresponding rectangular equation whose graph represents the curve. Adjust the domain of the resulting rectangular equation, if necessary.

Answer by MathLover1(20855) About Me  (Show Source):
You can put this solution on YOUR website!

x+=+cos%28theta%29
y+=+5sin%28theta%29
Eliminate the parameter and write the corresponding rectangular equation
x+=+cos%28theta%29
y%2F5=+sin%28theta%29

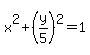
sin%5E2%28theta%29%2Bcos%5E2%28theta%29=1
x%5E2%2B%28y%2F5%29%5E2=1
x%5E2%2By%5E2%2F25=1-> ellipse