SOLUTION: evaluate the (cos pi/4 +sin pi/6)^2
Algebra
->
Trigonometry-basics
-> SOLUTION: evaluate the (cos pi/4 +sin pi/6)^2
Log On
Algebra: Trigonometry
Section
Solvers
Solvers
Lessons
Lessons
Answers archive
Answers
Click here to see ALL problems on Trigonometry-basics
Question 1164631
:
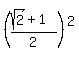
evaluate the (cos pi/4 +sin pi/6)^2
Answer by
Edwin McCravy(20060)
(
Show Source
):
You can
put this solution on YOUR website!
Edwin