Question 1163852: Find the exact value of the trigonometric function below given that sin u = -7/25 and cos v = -4/5. (Both u and v are in Quadrant III).
cos (u-v)
Found 3 solutions by solver91311, Tatiana_Stebko, MathTherapy: Answer by solver91311(24713) (Show Source): Answer by Tatiana_Stebko(1539) (Show Source): Answer by MathTherapy(10809) (Show Source):
You can put this solution on YOUR website!
Find the exact value of the trigonometric function below given that sin u = -7/25 and cos v = -4/5. (Both u and v are in Quadrant III).
cos (u-v)
Difference of 2 angles formula: cos (A - B) = cos A cos B + sin A sin B
This gives us: cos (u - v) = cos u cos v + sin u sin v
The above represents a "7-24-25" PYTHAG TRIPLE, and so, x = 24.
However, because the opposite side (y), and the adjacent side (x), are in the 3rd quadrant, then y = O = - 7, and x = A = - 24.
Therefore,
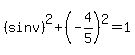
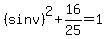
The above represents a "3-4-5" PYTHAG TRIPLE, and so, x = 3.
However, because the opposite side (y), and the adjacent side (x), are in the 3rd quadrant, then y = O = - 4, and x = A = - 3.
Therefore,
We now get:

|
|
|