SOLUTION: if cos theta = -8/17 and theta is in quadrant 3, cos 2theta= ? A.161/289 B.-161/289 C.64/289 D.-62/289 and tan 2 theta=? A. -30/217 B-30/161 C.-240/217 D.-240/161

Algebra ->  Trigonometry-basics -> SOLUTION: if cos theta = -8/17 and theta is in quadrant 3, cos 2theta= ? A.161/289 B.-161/289 C.64/289 D.-62/289 and tan 2 theta=? A. -30/217 B-30/161 C.-240/217 D.-240/161      Log On


   



Question 1160411: if cos theta = -8/17 and theta is in quadrant 3,
cos 2theta= ? A.161/289 B.-161/289 C.64/289 D.-62/289
and tan 2 theta=? A. -30/217 B-30/161 C.-240/217 D.-240/161

Found 2 solutions by MathLover1, ikleyn:
Answer by MathLover1(20855) About Me  (Show Source):
You can put this solution on YOUR website!

if cos+%28theta%29+=+-8%2F17 and theta is in quadrant 3,

cos+%5E2%28theta%29=+%28-8%2F17%29%5E2=64%2F289+

answer:
C.64%2F289+


and tan%5E2+%28theta%29=sin%28theta%29%2F+cos+%28theta%29
sin%28theta%29=opposite%2Fhypotenuse
cos%28theta%29=adjacent%2Fhypotenuse+
tan%28theta%29=opposite%2Fadjacent+
if cos+%28theta%29+=+-8%2F17 =>adjacent=-8 and hypotenuse=17+
using Pythagorean theorem, we have
opposite=sqrt%2817%5E2-%28-8%29%5E2%29
opposite=sqrt%28289-64%29
opposite=sqrt%28225%29
opposite=15
and if theta is in quadrant III, in quadrant III, cos%28theta%29+%3C+0, sin%28theta%29+%3C+0 and tan%28theta%29+%3E+0+
sin%28theta%29=-opposite%2Fhypotenuse....substitute opposite and hypotenuse
sin%28theta%29=-15%2F17
then tan%28theta%29+=+%28-15%2F17%29%2F+%28-8%2F17%29+
tan%28theta%29+=+%2815%2Fcross%2817%29%29%2F+%288%2Fcross%2817%29%29+
tan%28theta%29+=+15%2F+8+
and
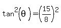
tan%5E2%28theta%29+=+%2815%2F+8+%29%5E2
tan%5E2%28theta%29+=+225%2F+64


then,
tan%282theta%29+=+2tan%28theta%29+%2F+%281+-+tan%5E2%28theta%29%29
tan%282theta%29+=+2%2815%2F+8+%29+%2F+%281+-+225%2F+64%29
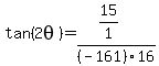
tan%282theta%29+=+%2815%2F+4+%29+%2F+%28%2864+-+225%29%2F+64%29
tan%282theta%29+=+%2815%2F+1+%29+%2F+%28-161%29%2F+16%29
tan%282theta%29+=+-240%2F161

answer:
D.-240%2F161

Answer by ikleyn(53751) About Me  (Show Source):
You can put this solution on YOUR website!
.

            Hello,  you are,  probably,  a novice at this forum,  so I will provide some instructions to you on writing formulas.



If you want to request  cos%282theta%29,  write  cos(2*theta),  using  PARENTHESES.


If you want to request  cos%5E2%28theta%29,  write cos^2(theta).


If you neglect these rules,  nobody will understand you,  and your time  (as well as the tutors' time)  will be spent for  NOTHING.