SOLUTION: Given that sin(θ) = 1/5, find the exact values of all the other trig functions.

Algebra ->  Trigonometry-basics -> SOLUTION: Given that sin(θ) = 1/5, find the exact values of all the other trig functions.      Log On


   



Question 1155732: Given that sin(θ) = 1/5, find the exact values of all the other trig functions.
Found 2 solutions by greenestamps, Edwin McCravy:
Answer by greenestamps(13200) About Me  (Show Source):
You can put this solution on YOUR website!


We can't find the exact values without knowing which quadrant we are in.

Assume the angle is in quadrant I, so that all the function values are positive. Then realize that any of the function values except the given value of sine might be negative.

sin%5E2%28x%29%2Bcos%5E2%28x%29=+1
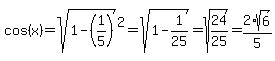
cos%5E2%28x%29+=+1-sin%5E2%28x%29
cos%28x%29+=+sqrt%281-sin%5E2%28x%29%29

Plug in the given value of sin(x):



Then use the values of sin(x) and cos(x) to find the values of the other functions.
tan%28x%29+=+sin%28x%29%2Fcos%28x%29
csc%28x%29+=+1%2Fsin%28x%29
sec%28x%29+=+1%2Fcos%28x%29
cot%28x%29+=+1%2Ftan%28x%29


Answer by Edwin McCravy(20056) About Me  (Show Source):
You can put this solution on YOUR website!
He may be a little beyond what you're studying.  I think you're just studying
right-triangle trig, not circular functions, and haven't gotten to putting them
on a graph yet, so I'll do them assuming you are just doing right triangle trig.

Since sine is opposite/hypotenuse, draw a right triangle with the opposite side
as 1 and the hypotenuse as 5 and the angle on the left θ:



Then use the Pythagorean theorem to find the adjacent side to θ:







Edwn