SOLUTION: If sin (theta)=3/7, And Theta¸ Is In Quadrant II, Then Find cos (theta)= tan (theta)= csc (theta)= cot (theta)= sec (theta)= *in fraction form*

Algebra ->  Trigonometry-basics -> SOLUTION: If sin (theta)=3/7, And Theta¸ Is In Quadrant II, Then Find cos (theta)= tan (theta)= csc (theta)= cot (theta)= sec (theta)= *in fraction form*      Log On


   



Question 1155696: If sin (theta)=3/7, And Theta¸ Is In Quadrant II, Then Find
cos (theta)=
tan (theta)=
csc (theta)=
cot (theta)=
sec (theta)=
*in fraction form*

Found 2 solutions by MathLover1, MathTherapy:
Answer by MathLover1(20850) About Me  (Show Source):
You can put this solution on YOUR website!
If sin%28theta%29=3%2F7, And Theta¸ Is In Quadrant II,

use sin%5E2%28theta%29+%2B+cos%5E2+%28theta%29=1+=>

cos%5E2+%28theta%29+=+1-sin%5E2%28theta%29+

sin%5E2%28theta%29+=%283%2F7%29%5E2=9%2F49

cos%5E2+%28theta%29=1-+9%2F49+

cos%5E2+%28theta%29=40%2F49

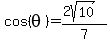
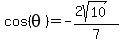
cos%28theta%29=sqrt%2840%2F49%29

cos%28theta%29=%282sqrt%2810%29%29%2F7=> is negative because the angle is in the second quadrant

cos%28theta%29=-%282sqrt%2810%29%29%2F7



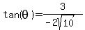
tan%28theta%29=+sin+%28theta%29%2Fcos+%28theta%29

tan%28theta%29=%283%2F7%29%2F%28-%282%2Asqrt%2810%29%29%2F7%29

tan%28theta%29=3%2F%28-2sqrt%2810%29%29

tan%28theta%29=3sqrt%2810%29%2F%28-2sqrt%2810%29sqrt%2810%29%29

tan%28theta%29=3sqrt%2810%29%2F%28-2%2A10%29

tan%28theta%29=-3sqrt%2810%29%2F20



cot%28theta%29=cos%28theta%29%2Fsin%28theta%29

cot+%28theta%29=%28-%282sqrt%2810%29%29%2F7%29%2F%283%2F7%29

cot%28theta%29=-%282%2Asqrt%2810%29%29%2F3



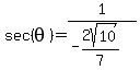
sec%28theta%29=1%2Fcos%28theta%29

sec%28theta%29=1%2F%28-2sqrt%2810%29%2F7%29

sec%28theta%29=7%2F%28-2sqrt%2810%29%29

sec%28theta%29=-7sqrt%2810%29%2F20


Answer by MathTherapy(10555) About Me  (Show Source):
You can put this solution on YOUR website!
If sin (theta)=3/7, And Theta¸ Is In Quadrant II, Then Find
cos (theta)=
tan (theta)=
csc (theta)=
cot (theta)=
sec (theta)=
*in fraction form*
With theta located in the 2nd Quadrant, we get: