SOLUTION: Prove this with trig identities ((sin(x))/(1+cos(x)))+((1+cos(x))/(sin(x))) = 2csc(x) Thank you so much!!

Algebra ->  Trigonometry-basics -> SOLUTION: Prove this with trig identities ((sin(x))/(1+cos(x)))+((1+cos(x))/(sin(x))) = 2csc(x) Thank you so much!!      Log On


   



Question 1151359: Prove this with trig identities
((sin(x))/(1+cos(x)))+((1+cos(x))/(sin(x))) = 2csc(x)

Thank you so much!!

Answer by MathLover1(20850) About Me  (Show Source):
You can put this solution on YOUR website!
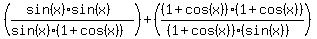
manipulate left side:


=

=

= ........use identity sin%5E2%28x%29%2Bcos%28x%29%5E2=1

=%281%2B1%2B2cos%28x%29%29%2F%28%281%2Bcos%28x%29%29%28sin%28x%29%29%29+

=%282%2B2cos%28x%29%29%2F%28%281%2Bcos%28x%29%29%28sin%28x%29%29%29+

=2%281%2Bcos%28x%29%29%2F%28%281%2Bcos%28x%29%29%28sin%28x%29%29%29+ ...........simplify

=2cross%28%281%2Bcos%28x%29%29%29%2F%28cross%28%281%2Bcos%28x%29%29%29%28sin%28x%29%29%29

=2%2F%28sin%28x%29%29................use identity csc%28x%29=1%2Fsin%28x%29

=2csc%28x%29