SOLUTION: Convert 165 degrees to radians. Give your answer in terms of pi.
Algebra
->
Trigonometry-basics
-> SOLUTION: Convert 165 degrees to radians. Give your answer in terms of pi.
Log On
Algebra: Trigonometry
Section
Solvers
Solvers
Lessons
Lessons
Answers archive
Answers
Click here to see ALL problems on Trigonometry-basics
Question 1138330
:
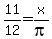
Convert 165 degrees to radians. Give your answer in terms of pi.
Answer by
josmiceli(19441)
(
Show Source
):
You can
put this solution on YOUR website!
Let
= 165 degrees in radians