Question 1135977: Find the vertex, focus, directrix, and focal width of the parabola.
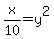
x = 10y2
choices are below
Vertex: (0, 0); Focus: one divided by forty comma zero ; Directrix: x = negative one divided by forty ; Focal width: 0.1
Vertex: (0, 0); Focus: one divided by ten comma zero ; Directrix: x = negative one divided by ten ; Focal width: 0.1
Vertex: (0, 0); Focus: one divided by forty comma zero ; Directrix: x = one divided by forty ; Focal width: 40
Vertex: (0, 0); Focus: zero comma one divided by forty ; Directrix: y = negative one divided by forty ; Focal width: 40
Found 2 solutions by MathLover1, greenestamps: Answer by MathLover1(20850) (Show Source):
You can put this solution on YOUR website!
is the standard equation for a right-left facing parabola with vertex at ( , )
rewrite in the standard form :
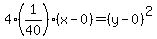
.........both sides divide by
factor
....simplify
rewrite as
so, ( , )= ( , ),
parabola is symmetric around the x-axis and so the focus lies a distance from the center ( , ) along the x-axis
( , )
( , )
( , )->focus
the distance between the focus and directrix is
parabola is symmetric around the x-axis and so the directrix is a line parallel to the y-axis, a distance -p from the center left ( , ) x-coordinate


so, you have:
vertex at ( , ),
focus at ( , )
directrix is
you can use only this one of your choices as an answer
Vertex: ( , );
Focus: ( , );
Directrix: x = 1/40; -> this is incorrect, should be 
Focal width:
Answer by greenestamps(13200) (Show Source):
You can put this solution on YOUR website!
For me, the most useful form of the equation of a parabola (that opens right or left) is

In this form...
(1) the vertex is (h,k);
(2) p is the (directed) distance from the vertex to the focus; which means -p is the directed distance from the vertex to the directrix; and
(3) 4p is the focal width (length of the latus rectum)
Written in that form, the equation in your example is

So...
(1) the vertex is (0,0);
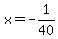
(2) 4p=1/10 so p=1/40, so the focus is (1/40,0) and the directrix is x = -1/40; and
(3) the focal width is 4p = 1/10 = 0.1
The first answer choice is the correct one.
|
|
|