Question 1135126: find the sum of the first 12 terms of the sequence and write down the equation.
1, -4, -9, -14, . . .
Found 2 solutions by MathLover1, MathTherapy: Answer by MathLover1(20855) (Show Source): Answer by MathTherapy(10809) (Show Source):
You can put this solution on YOUR website! find the sum of the first 12 terms of the sequence and write down the equation.
1, -4, -9, -14, . . .
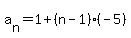
One of the formulas for the SUM of an A.P. is: , with: 
Substitute values for the variables and you should get, sum of A.P., or: .
NEVER go the route the other person suggests as it's very time consuming and EXTREMELY INEFFICIENT. What if there were 20, or 50, or 200 terms?
Would she suggest the same method to you? Seeing what she usually does, I bet she would!
|
|
|