SOLUTION: cos(x+y)cos(x-y)=

Algebra ->  Trigonometry-basics -> SOLUTION: cos(x+y)cos(x-y)=       Log On


   



Question 1134076: cos(x+y)cos(x-y)=

Answer by Edwin McCravy(20060) About Me  (Show Source):
You can put this solution on YOUR website!
Use the two identities:

cos%28x%2By%29+=+cos%28x%29cos%28y%29-sin%28x%29sin%28y%29

cos%28x-y%29+=+cos%28x%29cos%28y%29%2Bsin%28x%29sin%28y%29

Multiply left sides and right sides:



Multiply out the right side 

cos%5E2%28x%29cos%5E2%28y%29-sin%5E2%28x%29sin%5E2%28y%29=%22%22





cos%5E2%28x%29-sin%5E2%28y%29 <-- possible final answer

That may be far enough for your teacher, but you can keep 
going if you desire.  Use these two identities:

cos%282x%29=2cos%5E2%28x%29-1 and cos%282y%29=1-2sin%5E2%28y%29

Solve them for the squared terms.

2cos%5E2%28x%29=1%2Bcos%282x%29 and 2sin%282y%29=1-cos%5E2%28y%29

cos%5E2%28x%29=1%2F2%2Bexpr%281%2F2%29cos%282x%29 and sin%282y%29=1%2F2-expr%281%2F2%29cos%5E2%28y%29

Substitute in

cos%5E2%28x%29-sin%5E2%28y%29=%22%22

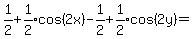
%281%2F2%2Bexpr%281%2F2%29cos%282x%29%29-%281%2F2-expr%281%2F2%29cos%282y%29%29=%22%22

1%2F2%2Bexpr%281%2F2%29cos%282x%29-1%2F2%2Bexpr%281%2F2%29cos%282y%29=%22%22

expr%281%2F2%29cos%282x%29%2Bexpr%281%2F2%29cos%282y%29=%22%22

expr%281%2F2%29%28cos%282x%29%5E%22%22%2Bcos%282y%29%29

Edwin