SOLUTION: solve for x sin(-4x)sin(-2x)=0

Algebra ->  Trigonometry-basics -> SOLUTION: solve for x sin(-4x)sin(-2x)=0       Log On


   



Question 1133977: solve for x
sin(-4x)sin(-2x)=0

Answer by MathLover1(20854) About Me  (Show Source):
You can put this solution on YOUR website!

sin%28-4x%29sin%28-2x%29=0
Solving each part separately:
sin%28-4x%29=0......use the period 2pi%2Anto find the full set of all solutions,
assuming n=1
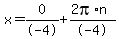
-4x=0%2B2pi%2An=>x=0%2F-4%2B%282pi%2An%29%2F-4=>x=-%28pi%2An%29%2F2
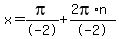
-4x=pi+%2B2pi%2An=>x=pi%2F-4%2B%282pi%2An%29%2F-4=>x=-pi%2F4-%28pi%2An%29%2F2


sin%28-2x%29=0
-2x=0%2B2pi%2An=>x=0%2F-2%2B%282pi%2An%29%2F-2=>x=-pi%2An+
-2x=pi+%2B2pi%2An=>x=pi%2F-2%2B%282pi%2An%29%2F-2=>x=-pi%2F2-pi%2An
if n=0=>x=0 in both cases
Combine all the solutions:
x=-%28pi%2An%29%2F2, x=-pi%2F4-%28pi%2An%29%2F2, x=-pi%2An ,x=-pi%2F2-pi%2An,x=0 for any integer n



+graph%28+600%2C+600%2C+-5%2C+5%2C+-5%2C+5%2Csin%28-4x%29sin%28-2x%29%29+