SOLUTION: If csc(x)=9, for 90° < x < 180°, then sin(x/2) = cos(x/2) = tan(x/2) =

Algebra ->  Trigonometry-basics -> SOLUTION: If csc(x)=9, for 90° < x < 180°, then sin(x/2) = cos(x/2) = tan(x/2) =       Log On


   



Question 1127013: If csc(x)=9, for 90° < x < 180°, then
sin(x/2) =
cos(x/2) =
tan(x/2) =

Answer by MathLover1(20855) About Me  (Show Source):
You can put this solution on YOUR website!
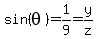
csc%28theta%29+=+9+
=>sin%28theta%29+=+1%2F9+=+y%2Fz
x%5E2+%2B+y%5E2+=+z%5E2
x%5E2+%2B+1%5E2+=+9%5E2
x%5E2+=+81+-+1
x%5E2+=+80
x%5E2+=+16%2A5
x+=+sqrt%2816%2A5%29
x+=+4sqrt%285%29

since, we have x as in the second quadrant, we will have
cos%28theta%29+=+-x%2Fz+=+-+4sqrt%285%29%2F+9+<----- it is negative

since we are in the second quadrant as 90° < theta < 180° , and we have theta%2F2 which changes the interval to :
90%2F2+°< theta%2F2 < 180%2F2°
45+°< theta%2F2 < 90° <----- first quadrant

sin%28x%2F2%29=+sqrt%28%281-cos%28x%29%29%2F2%29 ---> we are going to take only the positive root since the interval now in the first quadrant.
sin%28x%2F2%29=+sqrt%28%281%2B4sqrt%285%29%2F+9%29%2F2%29
sin%28x%2F2%29=+sqrt%28%289%2B4sqrt%285%29%29%2F+9%29%2F2%29
sin%28x%2F2%29=+sqrt%28%289%2B4sqrt%285%29%29%2F+9%29%2F2%29
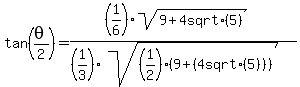
sin%28x%2F2%29=%281%2F6+%29sqrt%289+%2B+4+sqrt%285%29%29


cos%28theta%2F2%29+=+sqrt%28%28+1+%2B+cos%28theta+%29%29+%2F+2+%29+---> we are going to take only the positive root since the interval now in the first quadrant.
cos%28theta%2F2%29+=+sqrt%28+%281+%2B+4sqrt%285%29%2F+9+%29+%2F+2+%29+
cos%28theta%2F2%29+=+sqrt%28+%28%289+%2B+4sqrt%285%29%29%2F+9+%29+%2F+2+%29+
cos%28theta%2F2%29+=sqrt%28%281%2F2%29%281%2F9%29+%289+%2B+%284+sqrt%285%29%29%29%29
cos%28theta%2F2%29+=%281%2F3%29sqrt%28%281%2F2%29%289+%2B+%284+sqrt%285%29%29%29%29


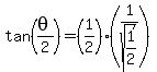
tan%28theta%2F2%29+=+sin%28theta%2F2%29%2Fcos%28theta%2F2%29 ---> we are going to take only the positive root since the interval now in the first quadrant








tan%28theta%2F2%29+=+%281%2F2+%29%281%2Fsqrt%281%2F2%29%29

tan%28theta%2F2%29+=+%281%2F2+%29%281%2F%28sqrt%281%29%2Fsqrt%282%29%29%29%29

tan%28theta%2F2%29+=+%281%2F2+%29%28sqrt%282%29%29

tan%28theta%2F2%29+=+sqrt%282%29%2F2