SOLUTION: Write the standard form and general form of the equation of each circle with radius r and center (h,k). Graph each circle. 2. r= 2/3; (h,k)= (0,0)

Algebra ->  Trigonometry-basics -> SOLUTION: Write the standard form and general form of the equation of each circle with radius r and center (h,k). Graph each circle. 2. r= 2/3; (h,k)= (0,0)      Log On


   



Question 1126197: Write the standard form and general form of the equation of each circle with radius r and center (h,k). Graph each circle.
2. r= 2/3; (h,k)= (0,0)

Answer by MathLover1(20850) About Me  (Show Source):
You can put this solution on YOUR website!
the standard form and the general form of the equation of each circle with radius r+ and center (h,k) is:
%28x-h%29%5E2%2B%28y-k%29%5E2=r%5E2


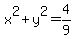
1. if r=2%2F3; (h,k)= (0,0), we have
%28x-0%29%5E2%2B%28y-0%29%5E2=%282%2F3%29%5E2
x%5E2%2By%5E2=4%2F9