SOLUTION: tan^2(theta)-sin^2(theta) / tan^2(theta)sin^2(theta)

Algebra ->  Trigonometry-basics -> SOLUTION: tan^2(theta)-sin^2(theta) / tan^2(theta)sin^2(theta)      Log On


   



Question 112509: tan^2(theta)-sin^2(theta) / tan^2(theta)sin^2(theta)
Answer by solver91311(24713) About Me  (Show Source):
You can put this solution on YOUR website!
I presume you want to simplify the expression tan%5E2%28alpha%29-sin%5E2%28alpha%29+%2F+tan%5E2%28alpha%29sin%5E2%28alpha%29. (I'm using alpha because theta doesn't render).

First thing to do is realize that since tan%28alpha%29=sin%28alpha%29%2Fcos%28alpha%29, tan%5E2%28alpha%29=sin%5E2%28alpha%29%2Fcos%5E2%28alpha%29. Now we can write:

.

.

.

. Factoring out a sin%5E2%28alpha%29

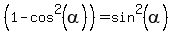
. Because sin%5E2%28alpha%29%2Bcos%5E2%28alpha%29=1, so %281-cos%5E2%28alpha%29%29=sin%5E2%28alpha%29

.


Hope that was what you were looking for.
John