SOLUTION: proving compound angle formula a) tan(x+45)-tan(x-45)= 4tanx/1-tan^2x b) sin(x-30)-cos(x+60)=square root 3sinx-cos x plz help me am stuck thx lots

Algebra ->  Trigonometry-basics -> SOLUTION: proving compound angle formula a) tan(x+45)-tan(x-45)= 4tanx/1-tan^2x b) sin(x-30)-cos(x+60)=square root 3sinx-cos x plz help me am stuck thx lots      Log On


   



Question 1119399: proving compound angle formula
a) tan(x+45)-tan(x-45)= 4tanx/1-tan^2x

b) sin(x-30)-cos(x+60)=square root 3sinx-cos x
plz help me am stuck thx lots

Found 2 solutions by Edwin McCravy, AnlytcPhil:
Answer by Edwin McCravy(20060) About Me  (Show Source):
You can put this solution on YOUR website!


That's not true, for if you substitute x = 100°,
you get 45.71229319 = -3.585054968, so
you must have copied it wrong.

But the second one is true:

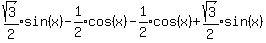
sin%28x-%2230%B0%22%29-cos%28x%2B%2260%B0%22%29=sqrt%283%29%2Asin%28x%29-cos%28x%29+

Work with left side only:

sin%28x-%2230%B0%22%29-cos%28x%2B%2260%B0%22%29+




 
sqrt%283%29%2Asin%28x%29-cos%28x%29

Edwin

Answer by AnlytcPhil(1807) About Me  (Show Source):
You can put this solution on YOUR website!
I have discovered what your copying error in the first
one must have been.  The sign between the terms in the
numerator of the left side should have been +, not -.


Work with left side only:

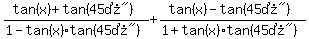
tan%28x%2B%2245%B0%22%29%2Btan%28x-%2245%B0%22%29+




%28tan%28x%29%2B1%29%2F%281-tan%28x%29%29%2B%28tan%28x%29-1%29%2F%281%2Btan%28x%29%29++







4%2Atan%5E%22%22%28x%29%2F%281-tan%5E2%28x%29%29

----------------------------------------------------------

sin%28x-%2230%B0%22%29-cos%28x%2B%2260%B0%22%29=sqrt%283%29%2Asin%28x%29-cos%28x%29+

Work with left side only:

sin%28x-%2230%B0%22%29-cos%28x%2B%2260%B0%22%29+




 
sqrt%283%29%2Asin%28x%29-cos%28x%29

Edwin (aka AnlytcPhil)