SOLUTION: Write the complex number z = 2 – 2i in its polar form: (r , theta).
Algebra
->
Trigonometry-basics
-> SOLUTION: Write the complex number z = 2 – 2i in its polar form: (r , theta).
Log On
Algebra: Trigonometry
Section
Solvers
Solvers
Lessons
Lessons
Answers archive
Answers
Click here to see ALL problems on Trigonometry-basics
Question 1117283
:
Write the complex number z = 2 – 2i in its polar form: (r , theta).
Answer by
ikleyn(52814)
(
Show Source
):
You can
put this solution on YOUR website!
.
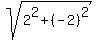
The modulus is
=
=
. The argument is -45°. The polar form is 2 - 2i = 2*sqrt(2)*cis(-45°).
Solved.