SOLUTION: This is my problem: Convert 4R - 14U to polar form. I have had a lot of confusion with trig over the past lessons, and I want to be positive that I have the correct answer. My solu

Algebra ->  Trigonometry-basics -> SOLUTION: This is my problem: Convert 4R - 14U to polar form. I have had a lot of confusion with trig over the past lessons, and I want to be positive that I have the correct answer. My solu      Log On


   



Question 1097489: This is my problem: Convert 4R - 14U to polar form. I have had a lot of confusion with trig over the past lessons, and I want to be positive that I have the correct answer. My solution to the problem is 2*sqrt53 with 105.95 degrees inside that angle thing. I'm not sure how to indicate the angle looking thing that 105.95 is inside of, so I hope you know what I'm talking about. R and U are vectors... my math book has never notated it differently. Anyway, am I right? Thank you for taking the time to look at my problem.
Answer by greenestamps(13200) About Me  (Show Source):
You can put this solution on YOUR website!

I will assume -- since it makes your answers look reasonable -- that "R" is a unit vector to the "R"ight and "U" is a unit vector "U"p. Then your vector 4R-14U us the resultant vector of the Cartesian point (4,-14). ("4 right and -14 up").

Then the magnitude of the vector is
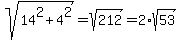
sqrt%2814%5E2%2B4%5E2%29+=+sqrt%28212%29+=+2%2Asqrt%2853%29
which agrees with your answer.

But the Cartesian point is in the 4th quadrant; your angle has the right components, but it is in the 2nd quadrant. So the angle for your vector is exactly 180 degrees away from where it should be.

Of course, all my comments are irrelevant if I have guessed wrong about the meanings of vectors R and U.