SOLUTION: Choose the correct right hand side to make the equation an identity. (cscx + cotx)^2=________ select one: a. (cosx-1)^2/sin^2x b. (cosx+1)^2/sin^2x c. (sinx-1)^2/cos^2x

Algebra ->  Trigonometry-basics -> SOLUTION: Choose the correct right hand side to make the equation an identity. (cscx + cotx)^2=________ select one: a. (cosx-1)^2/sin^2x b. (cosx+1)^2/sin^2x c. (sinx-1)^2/cos^2x      Log On


   



Question 1087885: Choose the correct right hand side to make the equation an identity.
(cscx + cotx)^2=________
select one:
a. (cosx-1)^2/sin^2x
b. (cosx+1)^2/sin^2x
c. (sinx-1)^2/cos^2x
d. (sinx+1)^2/cos^2x

Answer by Edwin McCravy(20059) About Me  (Show Source):
You can put this solution on YOUR website!
%28csc%5E%22%22%28x%29%5E%22%22%2Bcot%5E%22%22%28x%29%29%5E2%22%22=%22%22

Change to sines and cosines:

%281%2Fsin%28x%29%2B1%2Ftan%28x%29%29%5E2

Make up a value for x, say 20°.

Use a calculator to calculate

%281%2Fsin%28%2220%B0%22%29%2B1%2Ftan%28%2220%B0%22%29%29%5E2=32.16343748

Now calculate each of those:

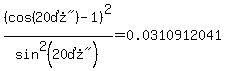
a. %28cos%28%2220%B0%22%29-1%29%5E2%2Fsin%5E2%28%2220%B0%22%29=0.0310912041
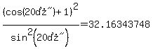
b. %28cos%28%2220%B0%22%29%2B1%29%5E2%2Fsin%5E2%28%2220%B0%22%29=32.16343748
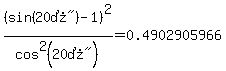
c. %28sin%28%2220%B0%22%29-1%29%5E2%2Fcos%5E2%28%2220%B0%22%29=0.4902905966
d. %28sin%28%2220%B0%22%29%2B1%29%5E2%2Fcos%5E2%28%2220%B0%22%29=2.039606729

So the correct choice is b.

Edwin