SOLUTION: given secant(theta)=10 find the exact value of cosecant squared theta using trig identities
Algebra
->
Trigonometry-basics
-> SOLUTION: given secant(theta)=10 find the exact value of cosecant squared theta using trig identities
Log On
Algebra: Trigonometry
Section
Solvers
Solvers
Lessons
Lessons
Answers archive
Answers
Click here to see ALL problems on Trigonometry-basics
Question 1084086
:
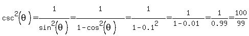
given secant(theta)=10 find the exact value of cosecant squared theta using trig identities
Answer by
Edwin McCravy(20060)
(
Show Source
):
You can
put this solution on YOUR website!
Edwin