SOLUTION: Solve the equation for 0≤x≤{{{2pi}}}. Write your answer as a multiple of {{{pi}}} if possible.
{{{sin^2(x)}}}+{{{cos^2(-x)}}}= 2cos{{{(pi/2-(x))}}}
Thanks!
Algebra ->
Trigonometry-basics
-> SOLUTION: Solve the equation for 0≤x≤{{{2pi}}}. Write your answer as a multiple of {{{pi}}} if possible.
{{{sin^2(x)}}}+{{{cos^2(-x)}}}= 2cos{{{(pi/2-(x))}}}
Thanks!
Log On
You can put this solution on YOUR website!
---------
You're using more { } than necessary.
====================
cos(-x) = cos(x)
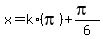
x = pi/6, 5pi/6
=========================================
Write your answer as a multiple of pi if possible.
When is that not possible?