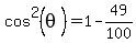
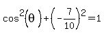
SOLUTION: find the exact value of cos2(theta) if sin(theta)= -7/10
Algebra
->
Trigonometry-basics
-> SOLUTION: find the exact value of cos2(theta) if sin(theta)= -7/10
Log On
Algebra: Trigonometry
Section
Solvers
Solvers
Lessons
Lessons
Answers archive
Answers
Click here to see ALL problems on Trigonometry-basics
Question 1082707
:
find the exact value of cos2(theta) if sin(theta)= -7/10
Answer by
Fombitz(32388)
(
Show Source
):
You can
put this solution on YOUR website!