SOLUTION: Find all solutions to the equation. 7 sin^2 x - 14 sin x + 2 = -5

Algebra ->  Trigonometry-basics -> SOLUTION: Find all solutions to the equation. 7 sin^2 x - 14 sin x + 2 = -5      Log On


   



Question 1082268: Find all solutions to the equation.
7 sin^2 x - 14 sin x + 2 = -5

Found 2 solutions by ikleyn, josmiceli:
Answer by ikleyn(52873) About Me  (Show Source):
You can put this solution on YOUR website!
.
7%2Asin%5E2%28x%29+-+14%2Asin%28x%29+%2B+2 = -5  ====>

7%2Asin%5E2%28x%29+-+14%2Asin%28x%29+%2B+7 = 0

7%2A%28sin%5E2%28x%29+-+2%2Asin%28x%29+%2B+1%29 = 0 

is equivalent to 

sin%5E2%28x%29+-+2%2Asin%28x%29+%2B+1 = 0

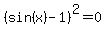
%28sin%28x%29-1%29%5E2 = 0

is equivalent to

sin(x) - 1 = 0  ---->  sin(x) = 1.

The solutions are x = pi%2F2+%2B+2k%2Api,  k = 0, +/-1, +/-2, . . . 

Solved.


Answer by josmiceli(19441) About Me  (Show Source):
You can put this solution on YOUR website!
+7%2Asin%5E2%28x%29+-+14%2Asin%28x%29+%2B+2+=+-5+
+7%2Asin%5E2%28x%29+-+14%2Asin%28x%29+=+-7+
+sin%5E2%28x%29+-+2%2Asin%28x%29+=+-1+
+sin%5E2%28x%29+-+2%2Asin%28x%29+%2B+1+=+0+
+%28+sin%28x%29+-+1+%29%5E2+=+0+
+sin%28x%29+=+1+
+x+=+pi%2F2+
------------------
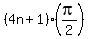
The general solution would be:
+%28+4n+%2B+1+%29%2A%28+pi%2F2+%29+
( n = 0,1,2,3,4,5, . . . )