SOLUTION: Explain how to use the measures of a right triangle to calculate the exact value of sin 30°? How can this information be used to determine the exact value of sin 60°? help pls!!

Algebra ->  Trigonometry-basics -> SOLUTION: Explain how to use the measures of a right triangle to calculate the exact value of sin 30°? How can this information be used to determine the exact value of sin 60°? help pls!!      Log On


   



Question 1081748: Explain how to use the measures of a right triangle to calculate the exact value of sin 30°? How can this information be used to determine the exact value of sin 60°? help pls!!
Found 2 solutions by math_helper, ikleyn:
Answer by math_helper(2461) About Me  (Show Source):
You can put this solution on YOUR website!


Here +theta+=+30%5Eo+
We know sin%2830%5Eo%29+=+1%2F2+ and +sin%28theta%29+=+y%2Fr+ so by drawing a right triangle within the unit circle, we know +r=1+ and therefore +y+=+1%2F2+
Notice how the other angle must be +180%5Eo+-+30%5Eo+=+60%5Eo+ because all angles of the triangle must sum to +180%5Eo+. That means +sin%2860%5Eo%29+=+x%2Fr+=+x%2F1+=+x+
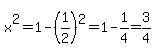
We can find x by the Pythagorean theorem: +r%5E2+=+x%5E2+%2B+y%5E2+
+1%5E2+=+x%5E2+%2B+%281%2F2%29%5E2+
++x%5E2+=+1-%281%2F2%29%5E2+=+1-1%2F4+=+3%2F4+ —> +x+=+sqrt%283%2F4%29+=+highlight%28sqrt%283%29%2F2%29+=+sin%2860%5Eo%29+

Answer by ikleyn(53763) About Me  (Show Source):
You can put this solution on YOUR website!
.
Do you know what an equilateral triangle is ?

It has all sides congruent and all angles congruent.

Each angle is of 60 degs.

If you draw the bisector from one vertex of the triangle, you will get the angle of 30 degs.

This bisector will divide the opposite side in two equal parts.

And since the bisector is also the altitude in this case, you will have a right angled triangle, correct ?

Therefore, sin of 30 degs is 1%2F2.