Hello,
I have found that often when I do a hard problem like this for
a student, the student often just turns in what I did and learns
nothing. So what I'm doing here is changing the numbers and
doing a problem exactly like yours, that requires exactly the same
steps from beginning to end. So I'm doing this one instead of yours,
which only has the numbers changed. Use it as a model to do
yours by, and you will learn something that way. If you have
any trouble, or don't understand something, just tell me in the
thank-you note form below and I'll get back to you promptly by
email. No charge ever, as I do this for fun.
2 acute angles, A and B, are such that cot A = 12 and tan(A-B) = -2.
Without evaluating A and B,
i) show that tan B = 5/2,
ii) evaluate sin A and cos B,
iii) evaluate sin^2(2A) + cos^2(2B).
therefore
Multiply thru by 12

ii) evaluate sin A and cos B,
Draw a right triangle in QI that has angle A with adjacent=12
and opposite=1. Using the Pythagorean theorem, the hypotenuse
is
.
So
-------------------
Draw a right triangle in QI that has angle B with opposite=5
and adjacent=2. Using the Pythagorean theorem, the hypotenuse
is
.
So
-------------------------------------------------------
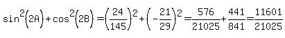
iii) evaluate sin^2(2A) + cos^2(2B).
We use the formulas and the two triangles above:
and
and
Now do yours step-by-step in every detail exactly like this one.
Edwin