SOLUTION: Simplify each expression. sinx + cosx cotx -cost - sinx tanx

Algebra ->  Trigonometry-basics -> SOLUTION: Simplify each expression. sinx + cosx cotx -cost - sinx tanx      Log On


   



Question 1076621: Simplify each expression.
sinx + cosx cotx
-cost - sinx tanx

Answer by MathLover1(20850) About Me  (Show Source):
You can put this solution on YOUR website!
1.
sin%28x%29+%2B+cos%28x%29%2Acot%28x%29... recall that cot%28x%29=cos%28x%29%2Fsin%28x%29
sin%28x%29+%2B+cos%28x%29%2A%28cos%28x%29%2Fsin%28x%29%29
sin%28x%29+%2B+%28cos%5E2%28x%29%2Fsin%28x%29%29..... recall that cos%5E2%28x%29=1-sin%5E2%28x%29
sin%28x%29+%2B+%281-sin%5E2%28x%29%29%2Fsin%28x%29
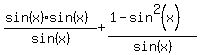
%28sin%28x%29%2Asin%28x%29%29%2Fsin%28x%29+%2B+%281-sin%5E2%28x%29%29%2Fsin%28x%29
sin%5E2%28x%29%2Fsin%28x%29+%2B+%281-sin%5E2%28x%29%29%2Fsin%28x%29
%28sin%5E2%28x%29+%2B+1-sin%5E2%28x%29%29%2Fsin%28x%29
%28cross%28sin%5E2%28x%29%29+%2B+1-cross%28sin%5E2%28x%29%29%29%2Fsin%28x%29
+1%2Fsin%28x%29

2.
-cos%28t%29+-+sin%28x%29+tan%28x%29
-cos%28t%29+-+sin%28x%29+%28sin%28x%29%2Fcos%28x%29%29
-cos%28t%29+-+sin%5E2%28x%29%2Fcos%28x%29
-%28cos%28t%29cos%28x%29%29%2Fcos%28x%29+-+%281-cos%5E2%28x%29%29%2Fcos%28x%29
%28-%28cos%28t%29cos%28x%29%29+-+%281-cos%5E2%28x%29%29%29%2Fcos%28x%29
%28-%28cos%28t%29cos%28x%29%29+-+1%2Bcos%5E2%28x%29%29%2Fcos%28x%29
-%28cos%28x%29%28cos%28t%29+-+1%2Bcos%28x%29%29%29%2Fcos%28x%29

-%28cross%28cos%28x%29%29%28cos%28t%29+-+1%2Bcos%28x%29%29%29%2Fcross%28cos%28x%29%29

-%28cos%28t%29+-+1%2Bcos%28x%29%29
1-cos%28t%29+-cos%28x%29