Question 1074035: How do I find the exact value of the trigonometric expression given that cscU=-13/5 and cosV=3/4. How do I solve tan(V-U) using the given values?
Found 2 solutions by KMST, MathTherapy: Answer by KMST(5328) (Show Source):
You can put this solution on YOUR website! You do not seen to have quite enough information listed.
With just the information you posted, the possibilities multiply, and you get 4 different answers.
If you had some clue that led you to the signs (positive or negative) of and ,
you could use the information given and trigonometric identities to find one answer.
That one answer may start as a cumbersome expression requiring simplification,
and ended as an ugly expression with square roots, but it would be the exact value.
Without more information there are 2 possible ,
and 2 possible , leading to 4 answers, and a lot more work.
By definition, ,
so means .
Angle could be in quadrant 3, with a negative cosine,
or in quadrant 4, with a positive cosine.
Either way, we know that for (as for any angle)
.
So, ,
meaning that either or .
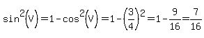
Similarly, from we can find
, and
for angle in quadrant 1,
or for angle in quadrant 4.
There are "formulas" called trigonometric identities
that allow you to calculate the trigonometric functions of sums of angles, multiples of angles, and half of angles.
You can look them up online;
just search for "trigonometric identities" or "trig identities."
I see no point in memorizing most of those identities,
unless your teacher/instructor insists that you must memorize them.
For this particular problem, there are different ways to go about it.
1) You could use the trigonometric identities
, and/or
.
to calculate and .
Then you could calculate .
2) Alternatively, you could first calculate and ,
and use them along with trig identity
to calculate .
Option 1) looks more complicated
.
The four possibilities as to the signs (positive or negative) of and ,
leads to either a positive or negative 
It could be if ,
or otherwise.
For each of those sines, we could calculate two cosines as
and .
If that looks ugly, you could calculate directly from the trig identity.
.
It could be .
It could be .
It could be .
It could be .
So, the four results are:

.
.


.
Option 2):
All the way at the top, we had
or paired with 
for the two possible angles.
That makes or .
All the way at the top, we had
or paired with for the two possible angles.
That makes or .
Plugging those values into the trig identity
,
we get






... 
and since and both are the opposites
of and respectively,
Answer by MathTherapy(10557) (Show Source):
|
|
|