SOLUTION: Find cos if sinx=-12/13 & tanx>0 Find tanx if cosx = the square root of 5/2 and sinx>0

Algebra ->  Trigonometry-basics -> SOLUTION: Find cos if sinx=-12/13 & tanx>0 Find tanx if cosx = the square root of 5/2 and sinx>0      Log On


   



Question 1072045: Find cos if sinx=-12/13 & tanx>0
Find tanx if cosx = the square root of 5/2 and sinx>0

Answer by Fombitz(32388) About Me  (Show Source):
You can put this solution on YOUR website!
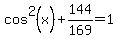
cos%5E2%28x%29%2Bsin%5E2%28x%29=1
cos%5E2%28x%29%2B144%2F169=1
cos%28x%29=-sqrt%281-144%2F169%29
.
.
cos%28x%29=sqrt%285%29%2F2%3E1
Check your setup for the second part.
The value of the cosine must be less than or equal to 1.