SOLUTION: If tan theta = -12/5 and theta is in quadrant II, Find cos 2theta; and tan 2theta

Algebra ->  Trigonometry-basics -> SOLUTION: If tan theta = -12/5 and theta is in quadrant II, Find cos 2theta; and tan 2theta      Log On


   



Question 1071226: If tan theta = -12/5 and theta is in quadrant II, Find cos 2theta; and tan 2theta
Answer by josmiceli(19441) About Me  (Show Source):
You can put this solution on YOUR website!
+a+=+12+ ( vertical component )
+b+=+-5+ ( horizontal component )
+c%5E2+=+12%5E2+%2B+%28-5%29%5E2+
+c%5E2+=+144+%2B+25+
+c%5E2+=+169+
+c+=+13+
+sin%28+theta+%29+=+12%2F13+
+cos%28+theta+%29+=+-5%2F13+
----------------------------
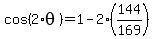
+cos%28+2%2Atheta+%29+=+1+-+2%2A%28+12%2F13+%29%5E2+
+cos%28+2%2Atheta+%29+=+1+-+2%2A%28+144%2F169+%29+
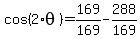
+cos%28+2%2Atheta+%29+=+169%2F169+-+288%2F169+
+cos%28+2%2Atheta+%29+=+-119%2F169+
---------------------------------------

+tan%28+2%2Atheta+%29+=+%28+2%2A%28+-12%2F5+%29+%29+%2F+%28+1+-+%28+-12%2F5+%29%5E2+%29+
+tan%28+2%2Atheta+%29+=+%28+-24%2F5+%29+%2F+%28++25%2F25+-+144%2F25+%29+
+tan%28+2%2Atheta+%29+=+%28+-120%2F25+%29+%2F+%28++25%2F25+-+144%2F25+%29+
+tan%28+2%2Atheta+%29+=+%28+-120+%29+%2F+%28+25+-+144+%29+
+tan%28+2%2Atheta+%29+=+120%2F119+
------------------------------
On my calculator I get:
+theta+=+112.6199+
+2%2Atheta+=+225.2397+
My answers check on calculator
+cos%28+2%2Atheta+%29+=+-.70414+
+tan%28+2%2Atheta+%29+=+1.0084+
------------------------------
Note that +2%2Atheta+ is in the 3rd quadrant
check all the math!