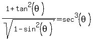
SOLUTION: Show that 1+Tan^2 theta / √1-Sin^2 theta = Sec^3 theta
Algebra
->
Trigonometry-basics
-> SOLUTION: Show that 1+Tan^2 theta / √1-Sin^2 theta = Sec^3 theta
Log On
Algebra: Trigonometry
Section
Solvers
Solvers
Lessons
Lessons
Answers archive
Answers
Click here to see ALL problems on Trigonometry-basics
Question 1070223
:
Show that 1+Tan^2 theta / √1-Sin^2 theta = Sec^3 theta
Answer by
josgarithmetic(39620)
(
Show Source
):
You can
put this solution on YOUR website!
You might really mean this:
There are simple identities for the numerator and the denominator of the left-side expression. One of them you should already know; and the other is easily derived and can be looked for in a good reference textbook or handbook.