SOLUTION: Find the missing coordinate of P, using the fact that P lies on the unit circle in the given quadrant. Coordinates Quadrant

Algebra ->  Trigonometry-basics -> SOLUTION: Find the missing coordinate of P, using the fact that P lies on the unit circle in the given quadrant. Coordinates Quadrant       Log On


   



Question 1065802: Find the missing coordinate of P, using the fact that P lies on the unit circle in the given quadrant.
Coordinates Quadrant
P (-4/5) III



Answer by Alan3354(69443) About Me  (Show Source):
You can put this solution on YOUR website!
Find the missing coordinate of P, using the fact that P lies on the unit circle in the given quadrant.
Coordinates Quadrant
P (-4/5) III
---------------
If it's the y coordinate:
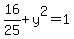
x%5E2+%2B+y%5E2+=+1
16%2F25+%2B+y%5E2+=+1
y%5E2+=+9%2F25
y = -3/5 (negative in Q3)
=============
It could be x or y.