SOLUTION: cos^(-1)((1)/(x))=sin^(-1)(x^(2)) cos^(-1) being arccos and sin^(-1) being arcsin.

Algebra ->  Trigonometry-basics -> SOLUTION: cos^(-1)((1)/(x))=sin^(-1)(x^(2)) cos^(-1) being arccos and sin^(-1) being arcsin.       Log On


   



Question 1065610: cos^(-1)((1)/(x))=sin^(-1)(x^(2))
cos^(-1) being arccos and sin^(-1) being arcsin.

Answer by Fombitz(32388) About Me  (Show Source):
You can put this solution on YOUR website!
Looks like no real solutions.
.
.
.
.
.
.
.
Here's why algebraically.
The equations lead to,
cos%28A%29=1%2Fx
sin%28A%29=x%5E2
And you know that,
cos%28A%29%5E2%2Bsin%28A%29%5E2=1
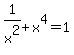
1%2Fx%5E2%2Bx%5E4=1
The left hand side has a minimum value of y=1.89.
.
.
.
.
.
.
.
So it will never equal 1, so there is no real solution.