SOLUTION: determine the exact value of sin2ø given that cosø=-12/13 and &#960;<ø<3&#960;/2 without determine the value of ø.

Algebra ->  Trigonometry-basics -> SOLUTION: determine the exact value of sin2ø given that cosø=-12/13 and &#960;<ø<3&#960;/2 without determine the value of ø.      Log On


   



Question 1061183: determine the exact value of sin2ø given that cosø=-12/13 and π<ø<3π/2 without determine the value of ø.
Found 2 solutions by ikleyn, jim_thompson5910:
Answer by ikleyn(52835) About Me  (Show Source):
You can put this solution on YOUR website!
.
determine the exact value of sin2ø given that cosø=-12/13 and π<ø<3π/2 without determine the value of ø.
~~~~~~~~~~~~~~~~~~~~~~~~~~~~~~~~~~~~~~~~~~

If  cos%28phi%29 = -12%2F13 and pi < phi <= 3pi%2F2, then

sin%28phi%29 = -sqrt%281-sin%5E2%28theta%29%29 = -sqrt%281-%28-12%2F13%29%5E2%29 = -sqrt%281-144%2F169%29 = -sqrt%28%28169-144%29%2F169%29 = -sqrt%2825%2F169%29 = -5%2F13%29.

The sign  "-"  was taken at  sqrt,  because sine is negative in QIII.


Then 

cos%282%2Aphi%29 = 2%2Asin%28phi%29%2Acos%28phi%29 = 2%2A%28-5%2F13%29%2A%28-12%2F13%29 = 120%2F169.

Solved.


For many other similar solved problems see the lessons
    - Calculating trigonometric functions of angles
    - Advanced problems on calculating trigonometric functions of angles
in this site.

Also, you have this free of charge online textbook in ALGEBRA-II in this site
    - ALGEBRA-II - YOUR ONLINE TEXTBOOK.

The referred lessons are the part of this online textbook under the topic "Trigonometry: Solved problems".



Answer by jim_thompson5910(35256) About Me  (Show Source):
You can put this solution on YOUR website!

Given: cos%28theta%29+=+-12%2F13


Let's use this to find sin%28theta%29


Pythagorean Identity:


sin%5E2%28theta%29%2Bcos%5E2%28theta%29+=+1


sin%5E2%28theta%29%2B%28cos%28theta%29%29%5E2+=+1


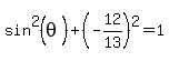
sin%5E2%28theta%29%2B%28-12%2F13%29%5E2+=+1 Replace cos%28theta%29 with -12%2F13 (see "given" above)


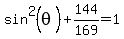
sin%5E2%28theta%29%2B144%2F169+=+1


sin%5E2%28theta%29%2B144%2F169-144%2F169+=+1-144%2F169


sin%5E2%28theta%29+=+1-144%2F169


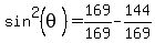
sin%5E2%28theta%29+=+169%2F169-144%2F169


sin%5E2%28theta%29+=+%28169-144%29%2F169


sin%5E2%28theta%29+=+25%2F169


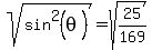
sqrt%28sin%5E2%28theta%29%29+=+sqrt%2825%2F169%29


sin%28theta%29+=+-sqrt%2825%2F169%29 See note below


sin%28theta%29+=+-5%2F13


Note: theta is between pi and 3pi%2F2 which means theta is in quadrant 3. This is where sin%28theta%29 is negative. So the "plus/minus" usually associated with the square root is dropped in favor of just a minus.


-------------------------------------------------------


We now have enough to compute sin%282theta%29 using the double angle identity sin%282theta%29=2%2Asin%28theta%29%2Acos%28theta%29


Using that identity, we get


sin%282theta%29=2%2Asin%28theta%29%2Acos%28theta%29


sin%282theta%29=2%2A%28-5%2F13%29%2A%28-12%2F13%29 Plug in the known info


sin%282theta%29=%282%2A%28-5%29%2A%28-12%29%29%2F%2813%2A13%29


sin%282theta%29=120%2F169


-------------------------------------------------------


The final answer is sin%282theta%29=120%2F169