SOLUTION: Simplify: (1-2sinx+sin^2x)/(cos^2x) My start: (1-2sinx+sin^2x)/(1-sin^2) Any help would be greatly appreciated!

Algebra ->  Trigonometry-basics -> SOLUTION: Simplify: (1-2sinx+sin^2x)/(cos^2x) My start: (1-2sinx+sin^2x)/(1-sin^2) Any help would be greatly appreciated!      Log On


   



Question 1059832: Simplify:
(1-2sinx+sin^2x)/(cos^2x)
My start:
(1-2sinx+sin^2x)/(1-sin^2)
Any help would be greatly appreciated!

Found 2 solutions by josmiceli, MathTherapy:
Answer by josmiceli(19441) About Me  (Show Source):
You can put this solution on YOUR website!
To make it easier, let +sin%28x%29+=+z+
Then I have:
+%28+z%5E2+-+2z+%2B+1+%29+%2F+%28+1+-+z%5E2+%29+
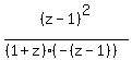
+%28+z+-+1+%29%5E2+%2F+%28+%28+1+%2B+z+%29%2A%28+1+-+z+%29+%29+
+%28+z+-+1+%29%5E2+%2F+%28+%28+1+%2B+z+%29%2A%28+-%28+z+-+1+%29+%29+%29+
+%28+z+-+1+%29+%2F+%28+%28+1+%2B+z+%29%2A%28+-1+%29+%29+
+%28+-%28+z+-+1+%29+%29+%2F+%28+1+%2B+z+%29+
+%28+1+-+z+%29+%2F+%28+1+%2B+z+%29+
+%28+1+-+sin%28x%29+%29+%2F+%28+1+%2B+sin%28x%29+%29+
Hope it makes sense

Answer by MathTherapy(10552) About Me  (Show Source):
You can put this solution on YOUR website!
Simplify:
(1-2sinx+sin^2x)/(cos^2x)
My start:
(1-2sinx+sin^2x)/(1-sin^2)
Any help would be greatly appreciated!
%281+-+2+%2A+sin+%28x%29+%2B+sin%5E2+%28x%29%29%2F%28cos%5E2+%28x%29%29
%281+-+2+%2A+sin+%28x%29+%2B+sin%5E2+%28x%29%29%2F%281+-+sin%5E2+%28x%29%29 <======= Good start!!
-------- Factoring numerator and denominator
=======> highlight_green%28%281+-+sin+%28x%29%29%2F%281+%2B+sin+%28x%29%29%29