SOLUTION: Let f(x)=(7/(x-4). Then according to the definition of derivative, f'(x)= the limit as t approaches x of BLANK 1. The expression inside the limit simplifies to a simple fraction w

Algebra ->  Trigonometry-basics -> SOLUTION: Let f(x)=(7/(x-4). Then according to the definition of derivative, f'(x)= the limit as t approaches x of BLANK 1. The expression inside the limit simplifies to a simple fraction w      Log On


   



Question 1057802: Let f(x)=(7/(x-4). Then according to the definition of derivative, f'(x)= the limit as t approaches x of BLANK 1.
The expression inside the limit simplifies to a simple fraction with
numerator= BLANK 2, and denominator= Blank 3.
Please find BLANK 1,2, and 3.
I am totally stuck on this one! :-( Could someone please help me?
Yours,
Juicy

Answer by Fombitz(32388) About Me  (Show Source):
You can put this solution on YOUR website!
The definition of the derivative is,
df%2Fdx=%28f%28x%2Bdx%29-f%28x%29%29%2Fdx in the limit as dx goes to zero.
So substituting,
t=x%2Bdx
df%2Fdx=%28f%28t%29-f%28x%29%29%2Fdx
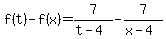
So the numerator is f%28t%29-f%28x%29=7%2F%28t-4%29-7%2F%28x-4%29
and the denominator is dx.