Question 1044780: Please give the corresponding equations in rectangular coordinates?
1) r = π
2) θ = 6
3) r = 4/(3cosθ -sinθ )
4) r^2 = 36/(9-13sin^2(θ) )
I would be very grateful for a short explanation for each answer. Thank you.
Found 3 solutions by Edwin McCravy, robertb, ikleyn: Answer by Edwin McCravy(20065) (Show Source):
You can put this solution on YOUR website!
1) r = π
Notice that that is the same as r = 3.1416...
Even though π is usually a value of θ, not r, it
is a value of r in this case. Think of the equation as
if it were
r = 3.14... + (0)θ
To plot the graph in polar coordinates we make a
table of values:
θ | r
0 | 3.14...
π/3| 3.14...
π/2| 3.14...
2π/3| 3.14...
π| 3.14...
4π/3| 3.14...
3π/2| 3.14...
5π/3| 3.14...
2π| 3.14...
Which means to swing a radius of 3.14... around from the
"east" in the counter-clockwise direction through an angle
of θ and place a point. When you do you get this black
circle with a radius of 3.14... Beside it is the same circle
plotted in rectangular coordinates.

To get the equation in rectangular coordinates we draw the triangle,
and the facts from trigonometry about the sides and hypotenuse of
a right triangle that we use to substitute:

So in the equation
1) r = π
we substitute and get
1)  
then square both sides and get
1)  
And that fits perfectly with what we've learned about
equations of circles with center at the origin.
------------------------------------------------
2) θ = 6
Draw an angle of 6 radians (about 344°) measured
counter-clockwise from the "east" (indicated by the
red arc) through the pole (origin), and draw a line.
Beside it, we draw the same line in rectangular coordinates.
[The red arc is not part of the graph. I just drew it
there so you would see the angle that we swing through
from the "east". On the right graph I also drew in a green
perpendicular to the x-axis, so you cold see the right
triangle and realize that the slope of the line in rectangular
coordinates was y/x which is the tangent of the angle of
6 radians]:
 
The slope of that line is the tangent of 6 radians, and the
y-intercept is (0,0), so its equation is found by substituting
tan(6) for m and 0 for b in
y = mx + b
y = tan(6)x + 0
y = tan(6)x
Using a calculator to get the approximation
y = -.2910061914x
--------------------------------------
3) r = 4/(3cosθ -sinθ )
We could plot a lot of points in polar coordinates and draw
it, but it's fairly complicated, so I won't bother on this and
the last one.
Use this to make substitutions:
Use this to make substitutions:

Replace cos(θ) by x/r and sin(θ) by y/r
Simplify the right side by multiplying top and bottom by r:
Simplify:
Cross multiply:
 
Divide both sides by r
 
----------------------------
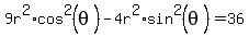
4) r^2 = 36/(9-13sin^2(θ) )
Use this to make substitutions:

--------------------------------
4)  
 
Simplify the fraction by multiplying top and bottom by r2
 
 
Multiply both sides by the denominator on the right:
 
Divide both sides by r2
 
Substitute r2 = x2+y2
 
 
 
That will be a hyperbola.
Edwin
Answer by robertb(5830) (Show Source): Answer by ikleyn(52906) (Show Source):
You can put this solution on YOUR website! .
to #2:
The set of points = 6 is the ray starting at the origin of the coordinate system. The origin is not included.
It is the set of points {(x,y) | y = tan(6)*x, x >0 }.
It is not a straight line.
|
|
|