SOLUTION: Calculate projvu and then resolve u into u1 and u2, where u1 is parallel to v and u2 is orthogonal to v. u=<7,-4> v=<2,1>

Algebra ->  Trigonometry-basics -> SOLUTION: Calculate projvu and then resolve u into u1 and u2, where u1 is parallel to v and u2 is orthogonal to v. u=<7,-4> v=<2,1>      Log On


   



Question 1043082: Calculate projvu and then resolve u into u1 and u2, where u1 is parallel to v and u2 is orthogonal to v.
u=<7,-4> v=<2,1>

Answer by Fombitz(32388) About Me  (Show Source):
You can put this solution on YOUR website!

.
.
.

v%5Bu%5D=%2814-4%29%2Fsqrt%2865%29
v%5Bu%5D=10%2Fsqrt%2865%29
v%5Bu%5D=%2810%2F65%29sqrt%2865%29
v%5Bu%5D=%282%2F13%29sqrt%2865%29
.
.
.
u%5Bv%5D=%28u%2Av%29%2Fabs%28v%29=10%2Fsqrt%282%5E2%2B1%5E2%29=10%2Fsqrt%285%29=2sqrt%285%29
So then,
u%5B1%5D=u%5Bv%5D=2sqrt%285%29
and
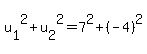
u%5B1%5D%5E2%2Bu%5B2%5D%5E2=7%5E2%2B%28-4%29%5E2
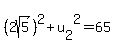
%282sqrt%285%29%29%5E2%2Bu%5B2%5D%5E2=65
20%2Bu%5B2%5D%5E2=65
u%5B2%5D%5E2=45
u%5B2%5D=sqrt%2845%29
u%5B2%5D=3sqrt%285%29