SOLUTION: If cosθ=−1/3 and θ is in the interval [π, 3π/2], then find the value of sin(θ).

Algebra ->  Trigonometry-basics -> SOLUTION: If cosθ=−1/3 and θ is in the interval [π, 3π/2], then find the value of sin(θ).       Log On


   



Question 1042080: If cosθ=−1/3 and θ is in the interval [π, 3π/2], then find the value of sin(θ).
Found 2 solutions by jim_thompson5910, ikleyn:
Answer by jim_thompson5910(35256) About Me  (Show Source):
You can put this solution on YOUR website!
Use the Pythagorean Trig Identity to solve for sin%28theta%29


sin%5E2%28theta%29+%2B+cos%5E2%28theta%29+=+1


sin%5E2%28theta%29+%2B+%28cos%28theta%29%29%5E2+=+1


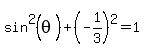
sin%5E2%28theta%29+%2B+%28-1%2F3%29%5E2+=+1


sin%5E2%28theta%29+%2B+1%2F9+=+1


sin%5E2%28theta%29+%2B+1%2F9-1%2F9+=+1-1%2F9


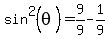
sin%5E2%28theta%29+=+9%2F9-1%2F9


sin%5E2%28theta%29+=+8%2F9


sqrt%28sin%5E2%28theta%29%29+=+sqrt%288%2F9%29


abs%28sin%28theta%29%29+=+sqrt%288%2F9%29


sin%28theta%29+=+%22%22%2B-sqrt%288%2F9%29


sin%28theta%29+=+-sqrt%288%2F9%29 See note below


sin%28theta%29+=+-%28sqrt%288%29%29%2F%28sqrt%289%29%29


sin%28theta%29+=+-%28sqrt%288%29%29%2F%283%29


sin%28theta%29+=+-%28sqrt%284%2A2%29%29%2F%283%29


sin%28theta%29+=+-%28sqrt%284%29%2Asqrt%282%29%29%2F%283%29


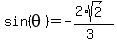
sin%28theta%29+=+-%282%2Asqrt%282%29%29%2F%283%29


------------------------------------------------------------------------------------------


Note:


θ is in the interval [π, 3π/2], so theta is in quadrant 3 where sine is negative.


So sin%28theta%29%3C0 which means we can drop the plus/minus and focus solely on the minus.


------------------------------------------------------------------------------------------


The final answer is sin%28theta%29+=+-%282%2Asqrt%282%29%29%2F%283%29


Answer by ikleyn(52852) About Me  (Show Source):