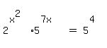
SOLUTION: Solve the following exponential equation. 2^x2 * 5^7x=625 The​ solution(s) is/are ?

Algebra ->  Trigonometry-basics -> SOLUTION: Solve the following exponential equation. 2^x2 * 5^7x=625 The​ solution(s) is/are ?       Log On


   



Question 1039588: Solve the following exponential equation.
2^x2 * 5^7x=625
The​ solution(s) is/are ?

Found 2 solutions by Alan3354, Edwin McCravy:
Answer by Alan3354(69443) About Me  (Show Source):
You can put this solution on YOUR website!
Solve the following exponential equation.
2^x2 * 5^7x=625
The​ solution(s) is/are ?
-----------
Is the exponent of 2 x? Or 2x?
Is the exponent of 5 7? or 7x?
-----
Parentheses are free.
Use some.
-------
The​ solution(s) is/are ?
--
This is not needed.

Answer by Edwin McCravy(20060) About Me  (Show Source):
You can put this solution on YOUR website!

I'm guessing you mean



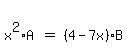
625 is 54



Divide both sides by 57x



To divide on the right, subtract exponents of 5



Take logs of both sides:



Use a rule of logarithms to move the exponents
in front of the logs:



To make things less messy, let A=log(2) and B=log(5)








x%22%22=%22%22

x%22%22=%22%22%287%2AB+%2B-+sqrt%28+49%2AB%5E2%2B16%2AAB%29+%29%2F%282A%29+

x%22%22=%22%22%287%2AB+%2B-+sqrt%28B%2849%2AB%2B16%2AA%29%29+%29%2F%282A%29+

x%22%22=%22%22

Edwin