SOLUTION: if tanx+sinx=m and tanx-sinx=n then prove that m^2-n^2=4(mn)^1/2

Algebra ->  Trigonometry-basics -> SOLUTION: if tanx+sinx=m and tanx-sinx=n then prove that m^2-n^2=4(mn)^1/2       Log On


   



Question 1025818: if tanx+sinx=m and tanx-sinx=n
then prove that m^2-n^2=4(mn)^1/2

Answer by robertb(5830) About Me  (Show Source):
You can put this solution on YOUR website!
==> tanx+=+%28m%2Bn%29%2F2 and sinx+=+%28m-n%29%2F2
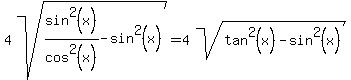
==> tanx%2Asinx+=+%28m%5E2+-+n%5E2%29%2F4 ==> 4tanx%2Asinx+=+%28m%5E2+-+n%5E2%29+=+%284sin%5E2%28x%29%29%2Fcos%28x%29
=
= 4sqrt%28%28sin%5E2%28x%29%2A%281-cos%5E2%28x%29%29%29%2Fcos%5E2%28x%29%29
=
= 4sqrt%28%28tanx%2Bsinx%29%28tanx-sinx%29%29+=+4sqrt%28mn%29
Therefore m%5E2+-+n%5E2=4sqrt%28mn%29