SOLUTION: For 2x^2 + xy + 2y^2 = 1, find theta, the angle of rotation about the origin, to the nearest degree

Algebra ->  Trigonometry-basics -> SOLUTION: For 2x^2 + xy + 2y^2 = 1, find theta, the angle of rotation about the origin, to the nearest degree      Log On


   



Question 1021847: For 2x^2 + xy + 2y^2 = 1, find theta, the angle of rotation about the origin, to the nearest degree
Answer by Fombitz(32388) About Me  (Show Source):
You can put this solution on YOUR website!
You can find the rotation angle of the general ellipse equation,
Ax%5E2%2B2Bxy%2BCy%5E2%2BD=0
using,
tan%282%2Atheta%29=%282B%29%2F%28A-C%29
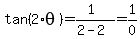
So in this case,
tan%282%2Atheta%29=%281%29%2F%282-2%29=1%2F0
2%2Atheta=0+%2B-+90
theta=0+%2B-+45
Let's graph it to see which it is.
.
.
.
.
.
.
.
theta=-45