SOLUTION: Prove that 16cos^5 A - 20cos^3 A + 5cos A = cos5A.

Algebra ->  Trigonometry-basics -> SOLUTION: Prove that 16cos^5 A - 20cos^3 A + 5cos A = cos5A.      Log On


   



Question 1017854: Prove that
16cos^5 A - 20cos^3 A + 5cos A = cos5A.

Answer by Edwin McCravy(20065) About Me  (Show Source):
You can put this solution on YOUR website!
We will show that the right side equals the left side:

We will use four formulas:

cos%28alpha%2Bbeta%29=cos%28alpha%29cos%28beta%29-sin%28alpha%29sin%28beta%29
cos%282theta%29=2cos%5E2%28theta%29-1
sin%282theta%29=2sin%28theta%29cos%28theta%29
sin%5E2%28theta%29=1-cos%5E2%28theta%29

Start with the right side:

cos%285A%29%22%22=%22%22

cos%28A%2B4A%29%22%22=%22%22

cos%28A%29cos%284A%29-sin%28A%29sin%284A%29%22%22=%22%22

cos%28A%29cos%282%2A2A%29-sin%28A%29sin%282%2A2A%29%22%22=%22%22

%22%22=%22%22

2cos%28A%29cos%5E2%282A%29-cos%28A%29-2sin%28A%29sin%282A%29cos%282A%29%22%22=%22%22

-cos%28A%29%2B2cos%28A%29cos%5E2%282A%29-2sin%28A%29sin%282A%29cos%282A%29%22%22=%22%22

Factor 2cos(2A) out of last two terms:

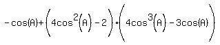
-cos%28A%29%2B2cos%282A%29%28cos%28A%29cos%282A%29-sin%28A%29sin%282A%29%5E%22%22%29%22%22=%22%22

%22%22=%22%22

%22%22=%22%22


%22%22=%22%22

%22%22=%22%22

%22%22=%22%22

%22%22=%22%22

Use FOIL

-cos%28A%29%2B%2816cos%5E5%28A%29%5E%22%22-12cos%5E3%28A%29-8cos%5E3%28A%29%2B6cos%28A%29%29%22%22=%22%22

-cos%28A%29%2B%2816cos%5E5%28A%29%5E%22%22-20cos%5E3%28A%29%2B6cos%28A%29%29%22%22=%22%22

-cos%28A%29%2B16cos%5E5%28A%29-20cos%5E3%28A%29%2B6cos%28A%29%29%22%22=%22%22

16cos%5E5%28A%29%5E%22%22-20cos%5E3%28A%29%2B5cos%28A%29

Whew!!!!

Edwin